-
Koszyk jest pusty
-
x
Do bezpłatnej dostawy brakuje
-,--
Darmowa dostawa!
Suma
0,00 zł
Cena uwzględnia rabaty
ZAPRASZAMY PONOWNIE :)
- Konto
-
Koszyk
(
0
)
-
Koszyk jest pusty
-
x
Do bezpłatnej dostawy brakuje -,--Darmowa dostawa!Suma 0,00 złCena uwzględnia rabaty -

- Konto
0,00 zł
0
Koszyk
-
Koszyk jest pusty
-
x
Do bezpłatnej dostawy brakuje
-,--
Darmowa dostawa!
Suma
0,00 zł
Cena uwzględnia rabaty
- Wszystkie kategorie
-
Kategorie
- WKRĘTY DO DREWNA
- KOŁKI ROZPOROWE
- GWOŹDZIE STALOWE
- OPASKI I OBEJMY
- ŚRUBY
- WKRETY DO METALU (SAMOWIERCĄCE)
- WKRĘTY DO METALU (METRYCZNE)
- WKRĘTY TYP 'FARMER'
- NAKRĘTKI
- ZAŚLEPKI
- ZAWLECZKI
- NITY
- KOTWY STALOWE
- PODKŁADKI
- WKRĘTY HAKOWE
- PRĘTY GWINTOWANE
- WKRĘTY DO PŁYT G-K
- WKRĘTY DO PŁYT WARSTWOWYCH
- WKRĘTY DO METALU (BLACHOWKRĘTY)
- KOSZULKI ROZPOROWE
- KOŁKI DO PŁYT G-K
- WKRETY DO PCV
- KOTWY CHEMICZNE
- AKCESORIA DO SZALUNKÓW
- WKRĘTY NA TAŚMIE
- GWOŹDZIE KOLETOWANE
- OPRYSKIWACZE
- ZAMIATARKI
- KOSY / PODKASZARKI
- DMUCHAWY / ODKURZACZE
- NOŻYCE DO ŻYWOPŁOTU
- WIERTNICE
- AKCESORIA DO NARZĘDZI OGRODOWYCH
- KOSIARKI
- MYJKI CIŚNIENIOWE
- PIŁY ŁAŃCUCHOWE
- NOŻYCE DO TRAW I KRZEWÓW
- WERTYKULATORY / AERATORY
- ROZDRABNIARKI DO GAŁĘZI
- GLEBOGRYZARKI
- ROZŁUPYWARKI
- SEKATORY
- MASZYNY WIELOFUNKCYJNE
- ODŚNIEŻARKI
- KRATKI WENTYLACYJNE METALOWE
- RURY WENTYLACYJNE
- DRZWICZKI
- OKUCIA KUCHENNE
- AKCESORIA DO PIECÓW
- GRZEJNIKI
- NASADY KOMINOWE
- SYSTEM KOMINOWY CZARNY
- PIECYKI WĘGLOWE
- PARNIKI
- WYCIORY KOMINOWE
- WENTYLATORY DOMOWE
- KRATKI WENTYLACYJNE Z PCV
- SYSTEM KOMINOWY KWASOODPORNY
- SYSTEM WENTYLACYJNY - KANAŁ PŁASKI
- NARZĘDZIA POMIAROWE
- NAGRZEWNICE
- KLIMATYZACJE
- SYSTEM WENTYLACYJNY - KANAŁ OKRĄGŁY
- OSUSZACZE
- ŁĄCZNIKI BUDOWLANE
- ZAMKI MEBLOWE
- ZASUWY BRAMOWE
- ZAWIASY BRAMOWE
- KŁÓDKI
- WKŁADKI BĘBENKOWE
- WSPORNIKI DO PÓŁEK
- ZASUWY DRZWIOWE
- AKCESORIA DO BURT
- ZAMKI WPUSZCZNE
- CYFRY I LITERY
- ZAWIASY DRZWIOWE
- WRZECIĄDZE
- POZOSTAŁE
- AKCESORIA DO DRZWI
- OKUCIA OKIENNE
- ZAMKNIĘCIA ROWEROWE
- ZAMKI NAWIERZCHNIOWE
- UCHWYTY MEBLOWE
- KLAMKI OZDOBNE
- ZAWIASY MEBLOWE
- WIESZAKI
- KLAMKI MALOWANE
- KLAMKI BRAMOWE
- SAMOZAMYKACZE
- GAŁKI DRZWIOWE
- ELEKTROZACZEPY
- WKŁADKI OKRĄGŁE
- AKCESORIA DO HUŚTAWEK
- PROFILE BUDOWLANE
- GAŁKO-KLAMKI
- SKRZYNKI NA LISTY
- SYSTEM RUROWY
- AKCESORIA MEBLOWE
- PROWADNICE MEBLOWE
- PISTOLETY DO KLEJENIA
- KLUCZE UDAROWE
- PILARKI / PIŁY
- FREZARKI
- ZESTAWY ELEKTRONARZĘDZI
- LATARKI / LAMPY
- WYRZYNARKI
- ZAKRĘTAKI UDAROWE
- NOŻYCE DO BLACHY
- WIERTARKI
- ODKURZACZE PRZEMYSŁOWE
- BRUZDOWNICE
- NARZĘDZIA WIELOFUNKCYJNE
- WIĄZARKI / PRZECINARKI
- MULTISZLIFIERKI
- STRUGI
- OPALARKI
- GRAWERKI / WYPALARKI
- RADIA BUDOWLANE
- MIESZARKI
- CZĘŚCI ZAMIENNE
- WKRĘTARKI
- GWOŹDZIARKI / SZTYFCIARKI
- WYCISKACZE
- LODÓWKI PRZENOŚNE
- WIERTNICE DIAMENTOWE
- NITOWNICE
- SZLIFIERKI
- WIERTARKO - WKRĘTARKI
- Promocje
- Nowości
- Kontakt
-
ELEKTRONARZĘDZIA
- AKUMULATORY I ŁADOWARKI
- DO SZLIFIEREK PROSTYCH
- DO WIĄZAREK / PRZECINAREK
- DO SZLIFIEREK KĄTOWYCH
- DO MŁOTÓW UDAROWO - OBROTOWYCH
- DO WIERTAREK
- DO NOŻYC DO BLACH
- DO MŁOTOWIERTAREK
- DO NARZĘDZI WIELOFUNKCYJNYCH
- DO ODKURZACZY PRZEMYSŁOWYCH
- DO STRUGÓW
- DO PIŁ UKOŚNYCH
- DO PILAREK STOŁOWYCH
- DO WIERTARKO - WKRĘTAREK
- DO MIESZAREK
- DO PILARKO - ZAGŁĘBIAREK
- DO PILAREK TARCZOWYCH
- DO WYRZYNAREK
- DO GWOŹDZIAREK / SZTYFCIAREK
- DO MULTISZLIFIEREK
- DO SZLIFIEREK DO GŁADZI
- DO FREZAREK
- DO SZLIFIEREK MIMOŚRODOWYCH
- DO ZGRZEWAREK
-
DOM I OGRÓD
-
-
ELEKTRONARZĘDZIA
- AKUMULATORY I ŁADOWARKI
- DO SZLIFIEREK PROSTYCH
- DO WIĄZAREK / PRZECINAREK
- DO SZLIFIEREK KĄTOWYCH
- DO MŁOTÓW UDAROWO - OBROTOWYCH
- DO WIERTAREK
- DO NOŻYC DO BLACH
- DO MŁOTOWIERTAREK
- DO NARZĘDZI WIELOFUNKCYJNYCH
- DO ODKURZACZY PRZEMYSŁOWYCH
- DO STRUGÓW
- DO PIŁ UKOŚNYCH
- DO PILAREK STOŁOWYCH
- DO WIERTARKO - WKRĘTAREK
- DO MIESZAREK
- DO PILARKO - ZAGŁĘBIAREK
- DO PILAREK TARCZOWYCH
- DO WYRZYNAREK
- DO GWOŹDZIAREK / SZTYFCIAREK
- DO MULTISZLIFIEREK
- DO SZLIFIEREK DO GŁADZI
- DO FREZAREK
- DO SZLIFIEREK MIMOŚRODOWYCH
- DO ZGRZEWAREK
-
DOM I OGRÓD
- OPRYSKIWACZE
- SZCZOTKI
- SYSTEMY ZRASZAJĄCE
- NAWOZY I ODŻYWKI
- OCHRONA PRZED OWADAMI I GRYZONIAMI
- NARZĘDZIA OGRODNICZE
- SIEKIERY
- SEKATORY
- USZCZELKI
- PLANDEKI
- GRABIE
- NARZĘDZIA GOSPODARCZE
- WĘŻE GOSPODARCZE
- TRZONKI
- KOSY
- WIDŁY
- POZOSTAŁE
- GRILLE
- ŚWIDRY DO GLEBY
- AKCESORIA DLA PSÓW
- NOGI OGRODOWE
- ŁOPATY
- SZPADLE
- KONEWKI
- ŚRODKI OCHRONY ROŚLIN
- SPIRALE KANALIZACYJNE
- POMPY DO WODY
- WĘŻE OGRODOWE
- WORKI
- MOTYKI
- OSTRZA I OBRZEŻA
- AGD
- WYCIERACZKI
- KOSZE
- NASIONA
- DONICZKI
- KOMPOSTOWNIKI
- NARZĘDZIA BUDOWLANE
-
MATERIAŁY ŚCIERNE I TNĄCE
-
OSPRZĘT DO ELEKTRONARZĘDZI
-
NARZĘDZIA WARSZTATOWE
- AKCESORIA NASADOWE
- DO RUR
- NASADOWE
- TRZPIENIOWE TYP 'T'
- NASADKI SPECJALNE
- SAMOCHODOWE
- TRZPIENIOWE TYP 'L'
- PŁASKO-OCZKOWE
- DYNAMOMETRYCZNE
- KOMPLETY KLUCZY PŁASKICH
- PŁASKIE
- RUROWE
- NASTAWNE
- PŁASKO-OCZKOWE Z GRZECHOTKĄ
- AKCESORIA UDAROWE
- FAJKOWE
- DO POBIJANIA
- PŁASKO-NASADOWE
- NASADOWE UDAROWE
- OCZKOWE ODGIĘTE
- OCZKOWE TYP 'C' Z GRZECHOTKĄ
- NASADOWE Z TRZPIENIEM
- OCZKOWE Z PRZEGUBEM
-
TECHNIKA MOCOWAŃ
-
NARZĘDZIA MALARSKIE I GLAZURNICZE
-
NARZĘDZIA POMIAROWE
-
MASZYNY OGRODOWE
-
ODZIEŻ I BHP
-
MAGAZYN I TRANSPORT
-
HYDRAULIKA
- CHEMIA BUDOWLANA
- AUTOMOTO
-
ELEKTRYKA
-
SPAWALNICTWO
- MASZYNY I URZĄDZENIA
-
OGRODZENIA I ODWODNIENIA
-
LINY, ŁAŃCUCHY I DRUTY
- DRABINY I RUSZTOWANIA
-
WENTYLACJA I OGRZEWANIE
-
OKUCIA I ZAMKNIĘCIA
- CZĘŚCI ZAMIENNE
-
PNEUMATYKA
-
DOM
- NAWILŻACZE
- PAKOWARKI PRÓŻNIOWE
- FRYTKOWNICE
- WAGI KUCHENNE
- GRILE ELEKTRYCZNE
- BLENDERY
- TOSTERY
- OPIEKACZE
- MIKSERY
- MASZYNKI DO MIĘSA
- ODKURZACZE
- CZAJNIKI
- NALEŚNIKARKI
- MOPY ELEKTRYCZNE
- MYJKI PAROWE
- PIECE DO PIZZY
- KOMBIWARY
- POPKORN I WATA CUKROWA
- SUSZARKI SPOŻYWCZE
- PAROWNICE
- EKSPRESY DO KAWY
- SUSZARKI DO WŁOSÓW
- WYCISKARKI DO SOKÓW
- SPIENIACZE DO MLEKA
- WAGI ŁAZIENKOWE
- LOKÓWKI
- SZCZOTECZKI DO ZĘBÓW
- GOFROWNICE
-
ELEKTRONARZĘDZIA

-
Kategorie
- WKRĘTY DO DREWNA
- KOŁKI ROZPOROWE
- GWOŹDZIE STALOWE
- OPASKI I OBEJMY
- ŚRUBY
- WKRETY DO METALU (SAMOWIERCĄCE)
- WKRĘTY DO METALU (METRYCZNE)
- WKRĘTY TYP 'FARMER'
- NAKRĘTKI
- ZAŚLEPKI
- ZAWLECZKI
- NITY
- KOTWY STALOWE
- PODKŁADKI
- WKRĘTY HAKOWE
- PRĘTY GWINTOWANE
- WKRĘTY DO PŁYT G-K
- WKRĘTY DO PŁYT WARSTWOWYCH
- WKRĘTY DO METALU (BLACHOWKRĘTY)
- KOSZULKI ROZPOROWE
- KOŁKI DO PŁYT G-K
- WKRETY DO PCV
- KOTWY CHEMICZNE
- AKCESORIA DO SZALUNKÓW
- WKRĘTY NA TAŚMIE
- GWOŹDZIE KOLETOWANE
- OPRYSKIWACZE
- ZAMIATARKI
- KOSY / PODKASZARKI
- DMUCHAWY / ODKURZACZE
- NOŻYCE DO ŻYWOPŁOTU
- WIERTNICE
- AKCESORIA DO NARZĘDZI OGRODOWYCH
- KOSIARKI
- MYJKI CIŚNIENIOWE
- PIŁY ŁAŃCUCHOWE
- NOŻYCE DO TRAW I KRZEWÓW
- WERTYKULATORY / AERATORY
- ROZDRABNIARKI DO GAŁĘZI
- GLEBOGRYZARKI
- ROZŁUPYWARKI
- SEKATORY
- MASZYNY WIELOFUNKCYJNE
- ODŚNIEŻARKI
- KRATKI WENTYLACYJNE METALOWE
- RURY WENTYLACYJNE
- DRZWICZKI
- OKUCIA KUCHENNE
- AKCESORIA DO PIECÓW
- GRZEJNIKI
- NASADY KOMINOWE
- SYSTEM KOMINOWY CZARNY
- PIECYKI WĘGLOWE
- PARNIKI
- WYCIORY KOMINOWE
- WENTYLATORY DOMOWE
- KRATKI WENTYLACYJNE Z PCV
- SYSTEM KOMINOWY KWASOODPORNY
- SYSTEM WENTYLACYJNY - KANAŁ PŁASKI
- NARZĘDZIA POMIAROWE
- NAGRZEWNICE
- KLIMATYZACJE
- SYSTEM WENTYLACYJNY - KANAŁ OKRĄGŁY
- OSUSZACZE
- ŁĄCZNIKI BUDOWLANE
- ZAMKI MEBLOWE
- ZASUWY BRAMOWE
- ZAWIASY BRAMOWE
- KŁÓDKI
- WKŁADKI BĘBENKOWE
- WSPORNIKI DO PÓŁEK
- ZASUWY DRZWIOWE
- AKCESORIA DO BURT
- ZAMKI WPUSZCZNE
- CYFRY I LITERY
- ZAWIASY DRZWIOWE
- WRZECIĄDZE
- POZOSTAŁE
- AKCESORIA DO DRZWI
- OKUCIA OKIENNE
- ZAMKNIĘCIA ROWEROWE
- ZAMKI NAWIERZCHNIOWE
- UCHWYTY MEBLOWE
- KLAMKI OZDOBNE
- ZAWIASY MEBLOWE
- WIESZAKI
- KLAMKI MALOWANE
- KLAMKI BRAMOWE
- SAMOZAMYKACZE
- GAŁKI DRZWIOWE
- ELEKTROZACZEPY
- WKŁADKI OKRĄGŁE
- AKCESORIA DO HUŚTAWEK
- PROFILE BUDOWLANE
- GAŁKO-KLAMKI
- SKRZYNKI NA LISTY
- SYSTEM RUROWY
- AKCESORIA MEBLOWE
- PROWADNICE MEBLOWE
- PISTOLETY DO KLEJENIA
- KLUCZE UDAROWE
- PILARKI / PIŁY
- FREZARKI
- ZESTAWY ELEKTRONARZĘDZI
- LATARKI / LAMPY
- WYRZYNARKI
- ZAKRĘTAKI UDAROWE
- NOŻYCE DO BLACHY
- WIERTARKI
- ODKURZACZE PRZEMYSŁOWE
- BRUZDOWNICE
- NARZĘDZIA WIELOFUNKCYJNE
- WIĄZARKI / PRZECINARKI
- MULTISZLIFIERKI
- STRUGI
- OPALARKI
- GRAWERKI / WYPALARKI
- RADIA BUDOWLANE
- MIESZARKI
- CZĘŚCI ZAMIENNE
- WKRĘTARKI
- GWOŹDZIARKI / SZTYFCIARKI
- WYCISKACZE
- LODÓWKI PRZENOŚNE
- WIERTNICE DIAMENTOWE
- NITOWNICE
- SZLIFIERKI
- WIERTARKO - WKRĘTARKI
- Promocje
- Nowości
- Kontakt
-
ELEKTRONARZĘDZIA
- AKUMULATORY I ŁADOWARKI
- DO SZLIFIEREK PROSTYCH
- DO WIĄZAREK / PRZECINAREK
- DO SZLIFIEREK KĄTOWYCH
- DO MŁOTÓW UDAROWO - OBROTOWYCH
- DO WIERTAREK
- DO NOŻYC DO BLACH
- DO MŁOTOWIERTAREK
- DO NARZĘDZI WIELOFUNKCYJNYCH
- DO ODKURZACZY PRZEMYSŁOWYCH
- DO STRUGÓW
- DO PIŁ UKOŚNYCH
- DO PILAREK STOŁOWYCH
- DO WIERTARKO - WKRĘTAREK
- DO MIESZAREK
- DO PILARKO - ZAGŁĘBIAREK
- DO PILAREK TARCZOWYCH
- DO WYRZYNAREK
- DO GWOŹDZIAREK / SZTYFCIAREK
- DO MULTISZLIFIEREK
- DO SZLIFIEREK DO GŁADZI
- DO FREZAREK
- DO SZLIFIEREK MIMOŚRODOWYCH
- DO ZGRZEWAREK
-
DOM I OGRÓD
-
-
-
-
Koszyk jest pusty
-
x
Do bezpłatnej dostawy brakuje -,--Darmowa dostawa!Suma 0,00 złCena uwzględnia rabaty -
TULEJA ZACISKOWA ALUMINIOWA DO LIN 16MM






Symbol:
ZAC 16AL
Opinie |
brak ocen
(Dodaj)
|
||||||||||
Wysyłka w ciągu | 24 godziny | ||||||||||
Cena przesyłki |
12
|
||||||||||
Dostępność |
Duża dostępność
|
Kod kreskowy | |
EAN | 1110003256744 |
Zamówienie telefoniczne: 602292152
Zostaw telefon
- Opis produktu
- Informacje dot. bezpieczeństwa
- Opinie (0)
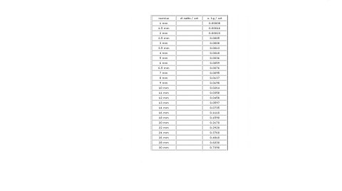
Tulejka zaciskowa aluminiowa na linę 16 mm ,
- długość całkowita tulejki - 56 mm
- grubość ścianki - 6,7 mm
- wewnętrzna podłużna długość tulejki - 35 mm
- wewnętrzna poprzeczna szerokość tulejki - 17,5 mm
umożliwia zakończenie liny pętlą .
Zastosowanie :
do linek stalowych , żeglarskich , np. w produkcji zawiesi linowych ,
znajduje również zastosowanie w przemyśle mechanicznym , budowlanym itp. w zależności od przeznaczenia.
Informacje dotyczące bezpieczeństwa
Ewentualne ostrzeżenia oraz wskazówki dotyczące bezpieczeństwa, znajdują się w instrukcji obsługi. Instrukcję obsługi można pobrać ze strony producenta.
Dane producenta
INVENA S.A.
5-209 KOSZALIN UL. GRABSKIEGO 3
75-209
Zapisz się do Newslettera
I odbierz darmowy kupon na 20zł za pierwsze zakupy